当前位置:首页>技术应用

低压铸造镁合金研究现状及展望

王一唱 发表于2025/1/8 9:20:06 低压铸造镁合金工艺特点
分享:

摘要

低压铸造是生产大型、复杂、高性能镁合金铸件的重要工艺之一,近年来表现出较高的应用前景,也越来越受到研究者们的关注。本文介绍了低压铸造镁合金的发展现状、成形工艺及特点、主要材料分类、强化机制、热处理方案和常见缺陷等,并对将来低压铸造镁合金的发展方向进行了展望。

前言

镁是密度最低的结构金属,其资源丰富,且具有比强度、比刚度高,减振性好,电磁屏蔽能力强,易切削加工及易回收等优势,在汽车、航空航天、电子产品及国防军工产品等领域上广泛应用。镁是继钢铁、铝合金后发展起来的新兴结构金属材料,其晶格结构与钢铁和铝均不同,被誉为21世纪的绿色工程材料。镁合金在铸造工艺上具有很强的适用性, 在几种制备镁合金材料及部件的技术中,铸造镁合金的发展历史最悠久,技术及设备也最为成熟。随着高新技术的不断发展,对高性能镁合金的需求日益增加,铸造工艺也随之改良和升级。目前,高压铸造是生产镁合金零件最常用的成形方式,但压铸仅适用于生产大批量薄壁件,其设备及模具等投入成本较高,且易发生卷气等铸造缺陷,影响成品质量。低压铸造是介于高压铸造和重力铸造之间的一种铸造方法,其充型平稳,更适合成形大型、复杂的镁合金铸件,且铸件可进行热处理强化,力学性能进一步提高。低压铸造镁合金近年来表现出较好的应用前景,也越来越受到人们的关注。

1 低压铸造工艺的特点和成型方法

低压铸造是指金属液在较低气体压力作用下自下而上充型,并在压力下使其固化形成铸件的铸造工艺。镁合金液在该工艺充型过程中,流动性得到提高,易于获得不同壁厚、结构复杂的铸件。同时,在充型过程中,其压力可控,能有效缓解镁液在充型时发生的翻腾、飞溅等,使镁液充型平稳,减少氧化夹渣和疏松等铸造缺陷的形成,从而获得高质 量铸件。常见的低压铸造方法包括最常用的置顶式气压低压铸造、真空低压消失模铸造以及电磁低压铸造等。常用的置顶式气压低压铸造技术原理如图1所示。该方法是将0.02~0.06 MPa的压缩气体通入密封坩埚内,使金属液自下而上缓慢填满型腔,充型完成后,停止加压并保压至铸件全部固化,再卸压使残余金属液回流至坩埚,最终脱模获得铸件。在该过程中,显著减少了金属液的翻腾、冲击及飞溅等, 进而大幅降低了氧化渣的产生;同时,其压力充型方式保证了合金液较高的流动性和铸件的致密性,适用于生产大型复杂薄壁铸件。值得一提的是,由于该工艺设计的浇、冒口系统简单,使得金属收得率可达90%以上,极大地节约了生产成本。低压铸造的过程控制对最终铸件的性能影响很大。以低压铸造镁合金轮毂为例,在铸造过程中,镁合金液的充型顺序通常是轮心-轮辐-轮辋-轮缘,其中轮辋和轮缘是远离浇口的薄壁区域,所以凝固顺序应为轮缘-轮辋-轮辐-轮心,为顺序凝固。若在凝固过程中轮毂没实现顺序凝固,则易产生凝固缺陷,如轮辐和轮辋处热裂缺陷、轮心处的粗大晶粒, 轮缘上的缩孔缩松等。因此,为尽量避免铸造缺陷的产生,需要采取局部冷却等方式调节模温,或调整保压工艺等对铸造工艺进行优化。真空低压消失模铸造技术是一种集真空消失模铸造与低压铸造于一体的新型铸造工艺,其示意图如图2所示,工艺步骤为:首先在底注式砂箱中放入消失模铸造模样,加入型砂紧实后,开始抽真空;接着将镁液加入浇注炉中,同时浇注炉内通入惰性气体,镁液受压流入砂箱,其带来的高温可将消失模铸造模样气化,最终完成浇注。该工艺比压铸工艺设备投资少且铸件可进行热处理强化,铸造性价比得到提升;比砂型铸造生产的铸件精度高、表面质量好,且生产节拍提高,最终铸件具备较高的综合性能。该工艺需要的浇注温度低,浇注温度的损失小, 合金铸件的浇注系统简单有效、成品率高,可用于镁合金复杂构件的液态成形,可获得高精度、低表面粗糙度且高性能的镁合金铸件,改善了传统铸造工艺中铸件易出现的浇不足、冷隔等缺陷。张大付等将该技术应用于AZ91D镁合金的液态精密成形,成功制备出电机外壳、排气管等复杂镁合金铸件,有效改善了镁合金浇不足和冷隔等缺陷,铸件性能大幅提高。

图1 置顶式气压低压铸造技术原理图

常规的镁合金低压铸造工艺主要采用压缩空气充型并保压来完成铸件生产。而电磁低压铸造技术是一种利用洛伦兹力使金属液上升并充型的一种铸造方法,其示意图如图3所示。其生产效率高、可连续、近无余量精确成形,在镁合金低压铸造领域具有独特优势。在该工艺中,向液态金属通以电流, 金属液受到洛伦兹力的作用会发生定向移动。在达到较高的电流、磁场强度时,产生的力可以满足常规低压铸造的要求。金属液在计算机控制下进行充型,保证不同截面处液面平稳上升。将液态金属注满铸模,并在一定凝固时间后,进行加压、保压,最终获得优质铸件。研究表明,经电磁泵低压铸造装置生产的摩托车铝合金轮毂,与传统低压铸造生产的轮毂相比,具有明显的性能优势。但是,与铝合金相 比,镁合金具有比热低、凝固潜热低等特点,导致镁合金液在模具型腔中的冷却速度快,因此需要调整工艺参数,如快速充型、对模温严格控制等。

图2 镁合金真空低压消失模铸造技术原理图

图3 电磁泵低压铸造工艺原理图

此外,吴国华等结合涂层转移制芯技术、坩埚液体金属密封技术与低压铸造技术,创新性开发出大型镁合金铸件精密低压铸造成型新工艺,保证了镁合金液的高纯度和高净度。所制造的镁合金铸件组织致密、尺寸精度高、表面质量好,且已具备100 kg镁合金铸件研发与小批量试制能力。

2 镁合金低压铸造的发展现状

早在20世纪初,英国就提出了低压铸造技术, 并将该技术应用在镁合金生产上,但受限于当时技术和设备,一直未得到大规模应用。第二次世界大战后,汽车工业开始快速发展,对汽车轮毂等零部件的需求量不断增加,而这类零部件也适合用低压铸造工艺生产,进而该技术得到迅速发展,但设备和技术仅掌握在少数发达国家手中。20世纪中叶后,各 国开始投入人力物力对低压铸造技术的原理和工艺进行了深入研究,随全球化进程和科技发展,低压铸造的设备也在不断升级,其应用范围更加广泛,现已大量应用于航空航天、汽车及各类机械产业中。

以低压铸造铝合金轮毂为例,其在20世纪80年 代的市场占有率仅为4%,但到了21世纪初其市场占有率便扩大至60%以上。目前低压铸造已成为生产铝合金轮毂最主要的工艺。为进一步加速汽车轻量化进程,各国厂家与研究者正加快镁合金轮毂的研发与生产,以替代铝合金实现更深入的轻量化,研究主要聚焦于新材料、新工艺上。研究表明, 若要获得与铝合金轮毂相同的刚度,镁合金轮毂的壁厚仅需增至铝合金轮毂的1.17倍,此时其质量也仅为铝轮毂的78%,具有明显轻量化效果;在新能源车上用镁合金轮毂代替铝合金轮毂,车辆续航能力可以提高8%以上,汽车加速性能和减振效果也得到明显提升。目前用于镁合金的铸造工艺有重力铸造、高压铸造、挤压铸造以及低压铸造等。其中,低压铸造因其充型平稳和顺序凝固等特点在镁合金零件制造上有独特的优势,在工业领域受到广泛的关注。但通过低压铸造技术生产镁合金轮毂仍有待深入研究和改进,技术还不成熟,没有得到广泛推广和应用。

进入21世纪以来,随着计算机技术的发展,数值模拟技术被广泛地用于低压铸造工艺的开发和优化。利用软件对镁合金的铸造过程进行数值模拟, 可以提前预测出铸件中产生的气孔、疏松及夹渣等缺陷的出现位置及原因,缩短产品工艺开发的周期, 减少试模次数,降低生产成本。李静怡等采用 铸造模拟软件EasyCast和NovaCast对镁合金隔板铸件低压铸造工艺过程进行数值模拟,发现隔板铸件凝固过程未遵循顺序凝固原则并有缩孔产生,通过添加冷铁进行工艺改进,有效加强补缩效果,改善了缩孔缺陷。张华等基于AnyCasting铸造模拟软件分析了AZ91D镁合金轮毂的铸造过程,精确定位铸造缺陷的部位并找出缺陷产生的原因,进而对铸造工艺进行了优化,减少了试模次数,从而大大降低了成本;数值模拟的结果也为镁合金轮毂的低压铸造提供了理论指导与依据,促进了低压铸造镁合金轮毂的工艺开发和生产进程。

近年来,新能源汽车快速发展,为汽车工业轻量化提出了更高的要求。《中国制造2025》提出了汽车发展的整体规划,轻量化已经成为世界各国汽车厂商最新核心的发展目标之一,图4为镁合金对汽车零部件的减重效果。纯电动汽车重量每降低10%,续航里程便可增加约6%,而车辆的电池包系统重量占整车20%以上,成本占整车高达30%~ 60%,在动力电池系统中,电池壳占系统总重量约 2%~30%,是主要的结构件,因此在保证电池系统功能安全和车辆整体安全的前提下,电池壳的轻量化已经成为电池系统主要改进目标之一。《铝镁合金铸件行业市场现状研究报告》指出,当前镁合金铸件具备替换铝合金铸件在汽车轻量化领域应用的三大条件,即:镁合金的密度约为铝合金的2/3,且比强度高于铝合金及钢材,使用镁合金替代铝合金可实现25%~35%的减重率;镁铝价格比回落至1.3 区间内,“镁代铝”经济上更具性价比;镁合金在抗振、散热、强度等方面具备优势。2022年国内单车镁合金用量仅3~5 kg,对比铝合金单车100 kg以上的用量,发展潜力巨大。智己L7车型全套电驱动系统壳体是镁合金材料在新能源电驱动壳体上的首次量产应用,这也是目前在国内外汽车领域量产应用的最大的镁合金零组件之一。随后,上汽也开发了多款镁合金新能源电驱总成产品,并成功量产,加速拓宽了镁合金新的应用场景,也预示了镁合金在新能源汽车上的美好应用前景。随着新能源汽车性能逐步提升,对电驱壳体、电池托盘等部件的轻量化和性能要求也有所提高,对低压铸造可热处理强化镁合金部件的需求愈发紧迫。

图4 镁合金对汽车零部件的减重效果

3 低压铸造镁合金材料

纯镁强度较差,因此通常对纯镁进行合金化得到镁合金。其中的合金元素通过析出硬化、细晶强化和固溶强化直接强化合金的力学性能,表1中简要介绍了最常见的合金元素及其对镁合金的影响。铸造镁合金按主合金元素不同主要可分为Mg Al系、Mg-Zn系和Mg-RE系等。目前,应用最广泛的低压铸造镁合金为Mg-Al-Zn(AZ)系。

3.1 Mg-Al系

Mg⁃Al系是应用最早的镁合金材料,Al是镁合金提高铸造性能和力学性能的最有利元素。从 Mg⁃Al二元相图(如图5所示)可见,Al在α⁃Mg基体中的固溶度随温度变化较明显,其极限固溶度为 12.7%(质量分数,436 ℃),在室温下的固溶度约为 2%(质量分数)。随着镁合金中Al元素含量的提高,合金的结晶范围变窄,合金流动性提高,热裂倾向改善,缩松等缺陷减少,力学性能也得到明显提高,当合金的Al添加量超过6%(质量分数)时,还可对其进行热处理强化。在Mg-Al系合金的基础上添加Zn,Mn等合金化元素(如表2所示),可以进一步提高镁合金的铸造性能、力学性能、高温性能和耐腐蚀性能等,在工业生产中得到广泛应用。

Mg-Al-Zn(AZ)系合金中 Zn的极限固溶度为 6%(质量分数),Zn主要起固溶强化作用,经热处理后可得到固溶体组织,提高合金的屈服强度和抗蠕变性能,但Zn质量分数过高时对合金耐腐蚀性能不利,因此一般控制镁合金中的Zn添加量在2%(质量分数)以下。在众多AZ系合金中,AZ91D在低压铸造上应用最为广泛,该合金具有优异的成形性和较高的力学性能,可适用于多种成形工艺制造形状 复杂的结构件。然而该系合金中会形成低熔点脆性相β-Mg17 Al12 ,随着合金载荷的增加,β-Mg17 Al12 相 和β-Mg17 Al12 /α-Mg相界面上容易形成微裂纹,这些微裂纹逐渐连接形成主裂纹,直至合金断裂失效,如图6所示;此外,β-Mg17 Al12 相在高温下易软化和粗化,导致高温强度低、高温蠕变性能较差,在晶界上富集会降低合金蠕变抗力,使合金只能在125 ℃ 以下工况中应用,限制了该系合金的发展。近 年来,众研究者为了提高合金的综合性能,尝试在 AZ91合金中添加微合金化元素,其中添加微量稀土元素对合金性能的改最为显著。Wang等研究了添加不同量Gd对AZ91铸态合金性能的影响,结果表明添加微量Gd可以提高AZ91合金的强度和塑性,且α-Mg晶粒和Mg17 Al12 相均得到显著细化,因为合金中形成了弥散分布的球形Al8 Mn4 Gd相,起到第二相强化效果;此外,该相可以作为α-Mg晶粒和 Mg17 Al12 相的异质形核质点,同时起到晶粒和组织细化的效果,提高了合金的力学性能。Boby等在 AZ91合金中添加了Sn和Y,发现添加Sn形成了新的Mg2 Sn相,抑制了不连续相Mg17 Al12 的形核和生长;同时加Y和Sn时,出现新的Al2 Y相,Mg17 Al12 体 积分数减小,晶粒尺寸得到细化,合金室温和高温拉伸性能、耐腐蚀性能均得到改善,最优Sn和Y的添 加量分别是0.5%和0.9%(质量分数)。Cai等研 究发现添加Ce,Y和Gd可以细化Mg17 Al12 晶粒尺寸,优化其分布,降低合金中Mg17 Al12 相的含量,从而提高合金力学性能和耐腐蚀性,其中Ce的影响最显著,其次是Y和Gd。截至目前,在AZ91镁合金中添加Ce,Nd,Y,Ca,Ti,B,Sr,Sb和Bi等微合金化元素均已被广泛研究,其中对提高力学性能效果最好的是Ce,Nd,Y,Bi和Sb。

表1 镁合金中常见合金元素及其对合金的影响

图5 Mg-Al二元相图

表2 常用Mg-Al系低压铸造镁合金成分

Mg-Al-Mn(AM)系合金中Mn的极限固溶度为 3.4%(质量分数),该系合金强度低于AZ系合金,但具有优良韧性和塑性,适用于需要经受冲击载荷和要求安全性较高的场合,如座位架、设备仪表板及汽车轮毂等,其中以AM50和AM60合金在低压铸造中的应用最为广泛。日本、意大利、美国等国家选用AM60A和AM60B制造出性能优秀的压铸镁合金轮毂;中国也通过金属型重力铸造生产出了 AB60B汽车车轮铸件,工艺出品率高达65%,这 为低压铸造生产镁合金轮毂积累了经验。

除以上AZ系和AM系镁合金以外,在Mg-Al系合金中直接添加Ce,Nd,Y,Sb,Bi,Ca,Ti,B和Sr等合金化元素,可以起到晶粒细化、熔体净化、固溶强化和第二相强化等效果。向Mg-4Al合金中添加2%~4%(质量分数)的Ce元素可以形成Al11 Ce3 并减少Mg17 Al12 形成,设计优化得到的AE44合金适用于高温工况,如Corvette发动机架,其工作温度高达至150 ℃。然而,需要约16%(质量分数)的Ce 才能完全抑制Mg-4Al合金中Mg17 Al12 相的形成,这对于大多数汽车应用来说成本太高,因此Mg-Al-Ca 合金(AX系)被设计为较低成本的AE系合金替代品。Luo 等对 Mg-Al-Ca凝固路径的模拟结果表明,随着Ca含量的增加,Mg17 Al12 相分数降低,而 (Mg,Al)2 Ca相分数增加;当Ca的质量分数达到3% (AX53合金)时,Mg17 Al12 相被二元 Mg2 Ca和三元 (Mg,Al)2 Ca相完全抑制,该铸态合金室温屈服强度、175 ℃屈服强度和抗蠕变强度分别为186,151和 74 MPa,均远远超过AM50铸态合金的性能,在汽车零部件上具有很好的应用前景。

3.2 Mg-Zn系

Mg-Zn系铸造镁合金中,Zn主要起固溶强化和时效强化作用,合金可进行热处理强化;此外,Zn还可以很好地避免镁合金中因铁、镍等杂质元素对腐蚀性能产生的恶化。Mg-Zn-Al(ZA)系铸造镁合金具有良好的铸造性能和优异的抗蠕变性能,其力学性能甚至超过了传统的AZ和AM系。铸造镁合金ZA基合金具有良好的时效硬化响应,其时效析出序列为:SSSS(过饱和固溶体)→GP区→β1 ʹ (Mg4 Zn7 )→β2 ʹ(MgZn2 )→ β(MgZn 或 Mg2 Zn3 )。以ZA64合金为例,经过固溶和时效处理后,其抗拉 强度从铸态的183 MPa提高至260 MPa,延伸率提 高超过1倍。向Mg-Zn系铸造镁合金中进一步添 加合金化元素,如Cu,Sn,Sr,Ca,Sb和RE等,是改 善ZA系合金力学性能最常用的方法。然而, ZA系镁合金中Zn含量较高,合金易发生严重的热裂,铸造性能较差,限制了其在工业上的应用,该系合金目前还处于研究阶段,有待进一步商业化应用。

3.3 Mg-RE系

Mg-RE系(镁-稀土系)铸造镁合金是目前开发高性能镁合金的重要方向,稀土(RE)元素对镁合金熔体有一定程度的净化效果,还能改善铸造性能、优化组织、提高合金力学性能及抗蠕变性能等;添加 RE元素能使镁合金强度提高100%~250%,极限工作温度提升至350 ℃,耐蚀性能显著提升,拓展了镁合金材料的应用领域。随着稀土元素在镁合金中固溶度的增大,其强化效果会更加明显,图7显示了Mg-RE和Mg-Al,Mg-Zn铸造合金性能与密度的差异。目前,Mg-Y,Mg-Nd,Mg-Gd系合金因时效硬化效果较强,实际应用潜力较大,成为当前研究和应用最为广泛的Mg-RE系铸造镁合金。

Y元素在α-Mg中的固溶度较高,因此合金具备较强的时效强化能力,其时效析出序列为:SSSS(过饱和固溶体)→βʹʹ(DO19-Mg3 Y)→βʹ(cbco-Mg7 Y)→ β1 (fcc-Mg3 Y)→β(fcc-Mg5 Y)。大量研究表明, Mg-Y合金的峰值时效强化效果主要来源于弥散析出的纳米级亚稳βʹ相,该相与α-Mg基体的位向关系为:(100)βʹ //(1-210)Mg , [001]βʹ //[0001]Mg ,其三维结构如图8所示。为进一步提高合金强度和蠕变 抗力,研究者在Mg-Y合金二元合金的基础上添加其他稀土元素,形成Mg-Y-RE三元合金体系。其中,WE43是最典型的镁稀土铸造镁合金之一,金属型铸造的合金经适当的固溶和时效处理后,其强度大大提高,抗拉强度可达345 MPa,且在300 ℃下依然能保持较好的力学性能;在WE43合金中添加微量Zn,可以促进析出弥散细小的析出相,并产生 长周期有序结构(LPSO)相,从而提高合金的时效硬化响应速度和力学性能,尤其是延伸率得到显著提高。

图8 Mg-Y系合金时效析出强化模型

Mg-Gd系铸造镁合金中添加Zn,Y和Nd等合金元素形成三元或多元合金,力学性能更高,抗拉强度甚至可以超过350 MPa。在Mg-Gd系添加Zn 元素时,合金的时效析出序列会发生变化,当合金中 Gd的质量分数在6%以下时,析出序列为:SSSS→ γʹʹ(hcp-Mg70 Gd15 Zn15 )→ γʹ(hcp-MgGdZn)→ γ(hcp Mg12 GdZn)。γʹ相在 α-Mg基面上形成,可以提高合金的峰时效硬度。而在Gd含量较高的合金中添加Zn时,析出强化来源于在基体棱柱面析出的βʹ 相与基面析出的γʹ相的复合作用,合金力学性能进一步提升。Rong等在Mg-15Gd-0.4Zr合金中添 加1%Zn(质量分数)后,峰时效态合金的屈服强度从232 MPa提高至288 MPa,抗拉强度从296 MPa 提高至403 MPa,这是因为γʹ和βʹ相在基体中相对垂直分布,对基体产生了复合强化作用,其组织形貌如图9所示。此外,上海交通大学在Mg-Gd合金基础上开发出高强耐热铸造 Mg-10Gd-3Y-0.5Zr (GW103K,JDM2)合金,在低压铸造或重力铸造时有较好的流动性和抗热裂性,合金经固溶和时效处理后,合金室温力学性能大大提高,屈服强度高达 240 MPa,延伸率为6%,在300 ℃高温下屈服强度仍能保持很高水平,对航空航天、军工等领域轻量化作出极大贡献,已被应用于轻型导弹壳体及雷达部 件等制备。

Gd 元素在α-Mg中的极限固溶度高于Y,从 548 ℃降温至200 ℃时,其固溶度从23.5%降至4% (质量分数),因此对Mg-Gd合金进行时效处理,基体可析出大量纳米相,带来显著的时效硬化效果。Mg-Gd的时效析出序列与Mg-Y系完全相同,峰时效态下主要是βʹ与βʹʹ或βʹ与β1 两相共存状态,合金具有较强的室温屈服强度。

轻稀土元素Nd在α-Mg中的极限固溶度约为 3.6%(质量分数),也可使镁合金产生较强的析出强化效果。Mg-Nd 系合金的时效析出序列为:SSSS→βʹʹ(DO19-Mg3 Nd)→βʹ(fcc-Mg3 Nd)→β(bct Mg12 Nd),βʹʹ为合金峰时效态下的主要强化相,该相与镁基体完全共格,二者位向关系为:(0001)βʹʹ // (0001)Mg ,βʹʹ //Mg 。βʹʹ相的热稳定性较高,可以提高Mg-Nd合金的高温稳定性和耐热性。然而,Nd元素在Mg中的生长限制因子Q值较小,对镁合金起不到明显的细化效果,因此Mg-Nd 合金的铸态晶粒通常较粗大,无法作为结构材料进行服役,通常需要额外添加Zr或Zn等元素以细化晶粒、改善铸造性能。上海交通大学在高强耐热 ZM6合金基础上调整了Nd/Zn比,开发出性能优良且成本低的Mg-3Nd-0.2Zn-0.4Zr(JDM1)镁稀土合金,该合金兼具较好的铸造性能和力学性能,已被应用于汽车轮毂、发动机支架等零部件上。

上述常见的几类铸造镁合金系列及其性能特点整理在表3和表4中。在实际生产中,需要根据铸件的使用工况来选取合适的合金材料。现有的合金系列均存在一些性能和应用瓶颈,因此优化合金成分, 开发新型合金已成为铸造镁合金的重要研究方向 之一。

图9 峰时效态G15K和GZ151K合金的TEM明场像及相 应的SAED图

4 低压铸造镁合金强化机制

虽然镁合金密度低,但目前常用的镁合金材料力学性能与钢、铝相比还有较大差距。因此,为提高铸造镁合金的综合性能,研究者主要从镁合金成分设计与优化、微结构调控、工艺优化、热处理优化等方面入手,确定镁合金强韧化机制,发展新型高性能铸造镁合金。镁合金属于密排六方结构,变形机制主要为位错滑移和孪生,晶粒尺寸、固溶原子、第二相等均会影响铸造镁合金的力学性能。

4.1 细晶强化

细晶强化是指在多晶合金中,通过晶粒粒度的细化来提高金属的强度,可以用Hall-Petch公式描述细晶强化对强度的贡献σgb :σgb = σ0 + kD−1/2 (1) 式中 σ0 为纯金属初始晶粒组织的屈服强度,ki 为 Hall-Petch 常数,D为晶粒平均直径。镁合金的k值很大,为280~320 MPa·μm1/2,是铝合金的4倍多, 因此晶粒细化对镁合金力学性能提高更有效。此外,细晶粒组织更为均匀,变形时不易产生应力集中开裂,提高了合金塑性和韧性。在液态成型过程中, 细晶组织还能显著改善熔体的流动性,提高合金铸锭质量。对低压铸造镁合金而言,由于该工艺流程充型速度较慢,熔体凝固速度较低,得到的合金晶粒组织往往较为粗大,力学性能也较低,因此研究低压铸造镁合金的晶粒细化方法和原理尤为重要。

目前可用的镁合金铸态晶粒细化技术可分为两种方法,分别是在铸造过程中通过熔体处理(如孕育、合金化)或搅拌(如超声波处理)来实现晶粒细化。溶质元素在晶粒细化中的作用已被广泛讨论,研究者普遍认为溶质偏析引起的成分过冷为晶粒细化的主要原因。成分过冷可以通过促进新晶粒 的形核以抑制原有晶粒的继续长大,起到组织细化效果。在镁合金中加入一些溶质元素后可有效地抑制晶粒生长,该效果可利用生长限制因子Q (Growth Restriction Factor,GRF)来定量描述,在二元合金体系中,其表达式如下:

式中 m为液相线的斜率,C0 为合金中的溶质浓度, ki 为为溶质元素的分配系数。二元镁合金中晶粒的尺寸和形态与合金中存在的溶质种类与含量直接相关:Q值越大,表明溶质在枝晶/液态前沿形成过冷区的倾向越大,产生的晶粒细化效果越显著。在二元体系铸造镁合金中,常见溶质元素的Q值如表5所示。需要注意的是,表中列出的Q值仅针对 二元体系,而在实际合金中往往是三元乃至多元体系,不适用于该方程,但仍有借鉴意义。

表3 常用铸造镁合金系列及性能特点

表4 常用铸造镁合金常温力学性能

表5 常见二元镁合金生长限制因子Q的数值

由表5可知,添加Zr,Ca和Si等Q值较高的溶质元素可以有效细化镁合金晶粒。Fe元素虽然Q 值最高,但对镁合金耐腐蚀性能有着不利影响,因此一般不考虑以Fe作为镁合金的合金元素。Zr元素的Q值仅次于Fe,其晶体结构为密排六方晶格,将 Zr添加于不含Al和Mn的镁合金(如Mg-RE,Mg Zn-RE等)中可显著细化晶粒;而Zr和Al,Mn, Si,Fe等元素极易发生反应形成稳定的金属间化合物,这些化合物通常在凝固后期形成,不能作为形核核心细化组织;Zr的额外消耗导致其细化效果进一步降低,双重作用限制了Zr在含Al和Mn等镁合金中的应用。Ca元素的Q值也较高,且Ca与Al会 反应原位生成Al2 Ca,与Mg的晶格匹配度较高,可以成为镁基体的有效异质形核核心,在Mg-Al系合金中作为晶粒细化剂有很大的应用潜力,近些年也得到广泛研究。除表5中所列元素外,Wang等在AZ31镁合金中添加0.01%Ti(质量分数)后,晶粒尺寸显著降低;经过计算得到Ti的Q值为59500,比 Mg-Zr体系中的生长限制因子高4个数量级,表明 Ti作为溶质元素其极高的成分过冷能力导致了 AZ31合金的高效晶粒细化。

还有一些元素会和镁合金熔体中其他溶质元素发生反应形成稳定的金属间化合物,这些颗粒有些可作为凝固过程中的形核核心,有些则会偏聚于晶界阻碍晶粒长大,最终起到晶粒细化效果,如添加 Mn和RE元素等。Mn是为数不多的能与Mg发生包晶反应的元素之一,因此虽然Mn的Q值很低, 但仍被作为镁合金的细化元素被广泛研究,但Mn 通常在熔体过热处理后才能起到精炼作用,向AZ91 合金中添加少量Mn,在过热反应后可以显著细化晶粒。向铸造镁合金中添加一些稀土元素,往往也能起到明显的晶粒细化效果。Wang等在Mg-Al 体系中添加La,Pr和Ce后,铸锭晶粒显著细化,这主要归因于固-液界面前沿RE元素偏析对晶粒生长的限制,这一假设基于在铸造镁合金晶界上观察到的含RE的金属间化合物。Chia等也支持这一观点,他们在Mg中加入La,Ce和Nd,得到了相似的晶粒细化结果。

除加入合金元素外,在低压铸造镁合金熔体中加入作为晶粒细化剂的固体颗粒或原位生成颗粒, 可以增加凝固过程中形核晶粒的数量以起到晶粒细化的效果。对于Mg-Al合金而言,加C是一种有效的晶粒细化方法,在工业上已有成熟应用,但人们对其晶粒细化机理还不清楚。该方法仅在添加铝(通常Al含量大于2%)的镁合金中有效,且Be,Zr,Ti 和稀土元素的存在对晶粒细化有不良影响。在Mg Al合金中添加SiC颗粒可以降低晶粒尺寸,但其机 理尚不明确。一些研究者认为,当SiC加入熔体中 时,形成了Al4 C3 ,并起到形核剂的作用;另一些研究者则认为Al2 MgC2 起形核剂的作用;还有人认为Mg 颗粒直接在SiC颗粒上形核。Liu等研究发现在 Al-Ti-C 中间合金中,TiC颗粒总是依附在Al4 C3 颗 粒周围,形成Al4 C3 +TiC颗粒团,试验表明该颗粒团对纯镁有显著的细化作用。除上述之外,Al-Ti-B 细化剂,NbB2 ,ZrB2 ,Mg24 Y5 ,TiB2 等颗粒及稀土等在 含铝低压铸造镁合金里也展现出良好的晶粒细化效果,但晶粒细化效果还有待进一步提高。

近年来也报道了适用于含铝和不含铝镁合金低压铸造的快速凝固技术、超声波晶粒细化技术和高强熔体剪切晶粒细化技术。快速凝固技术可以使铸件在凝固过程中的冷却速度加快,从而抑制晶粒的长大,铸件的冷却速度越快,晶体的生长时间越短, 晶粒的尺寸就会变得更小,因此,低压铸造快速凝固技术可以有效细化铸件的晶粒结构。高强熔体剪切晶粒细化技术通过在熔体中产生大量的MgO作为 形核剂而有效地细化晶粒。

综上所述,尽管研究工作已经进行了几十年,但仍然没有一种经济可靠的晶粒细化技术可用于工业生产。因此,有必要进行更多的研究工作,如进一步了解铁、锰等杂质对含铝镁合金晶粒细化的影响,研究不同方法的晶粒细化效率与镁合金纯度的关系等,寻找镁合金微观组织细化的新方法,以扩大镁及其合金的应用。

4.2 固溶强化

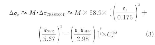
固溶是合金元素在镁合金中的重要存在形式,溶质原子固溶于Mg基体中,会引起系统能量的升高,同时增加滑移变形的阻力,最终导致基体强度增加,起到固溶强化效果。镁合金的固溶强化效果由尺寸错配度εb 、化学错配度εSFE 及溶质原子浓度Cs 决定,其中εSFE 根据广义堆垛层错能(Stacking Fault Energy)的变化计算。由于密排六方(hcp)金属下的主要滑移方式为基面滑移,根据第一性原理近似表示镁合金的固溶强化效果Δσss :

式中Azckss(o001)为(0001)Mg上临界分切应力的增量;M为泰勒因子,取4~6.5。对镁合金而言,最常用的固溶元素为Al和Zn,但其带来的固溶强化效果有限;稀土元素Gd,Y等在Mg基体中的固溶度较大,而且原子半径与Mg的差值均超过12%,导致的晶格畸变较大,具有较强的固溶强化效果。

在立方金属中,尤其是钢和铝合金材料中,固溶强化的同时往往伴随着合金的塑性下降,然而近年来在研究镁合金的固溶强化中发现了一些反常规律。刘婷婷等研究发现,某些特定原子,如Al,Y, Mn,Gd,Zn和Er等,固溶在镁中虽然阻碍了基面位错滑移,但同时降低了基面与非基面滑移的阻力差异,有利于非基面滑移的开动,镁合金强度和塑性同 时提升。针对这些发现,该团队提出了镁合金“固溶强化增塑”理论,并在此基础上成功开发了多种新型高性能镁合金。

前文提到稀土元素Gd,Y等在Mg基体中的固溶度较大,而且原子半径与Mg的差值均超过12%, 导致的晶格畸变较大,具有较强的固溶强化效果。目前研发出的部分低压铸造Mg-RE合金已成功应用于汽车轮毂、发动机支架、直升机机匣等零部件上。

此外,部分镁合金系列还可通过热处理进行强化。低压铸造镁合金经适当固溶处理(T4)后,通常可以同时提高材料的强度、塑性、韧性和抗冲击性。

合金元素的固溶量不仅直接影响元素固溶强化作用的程度,而且还影响各元素参与合金相形成的趋势、影响合金晶粒的尺寸等,从而对合金性能间接 产生影响。一些无法固溶的溶质原子会和Mg基体 或者其他溶质原子结合生成金属间化合物,在基体中沉淀析出,起到第二相强化效果。

4.3 第二相强化

铸造镁合金的固溶强化效果往往有限,难以满足现代工业应用对金属结构材料的性能要求。第二相强化是镁合金中的重要强化机制,合金中弥散细小的第二项颗粒均匀分布于基体中或晶界上,与位错相互作用,通过“切过”和“绕过”机制,提高临界分切应力,进而显著提高合金的强度。第二相强化分为沉淀强化和弥散强化两种类型,对于合金的时效析出相,位错多以“切过”机制为主,如在Mg-Al二元合金中易形成的Mg17 Al12 相;对于人工添加的弥散相颗粒,因其尺寸较大,位错通常采用Orowan“绕过”机制,如在镁基体中加入的增强相SiC颗粒。

镁合金的第二相强化效果受其分布、尺寸、形状、体积分数和晶体结构等综合影响。Nie对比了球形析出相、基面片状析出相、基面柱状析出相、柱面片状析出相对基体的强化效果差异。研究表明, 各析出相对基体的强化效果从强到弱依次为:柱面片状析出相>基面柱状析出相>圆球相>基面片状析出相。

通常来说,对低压铸造镁合金(尤其是Mg-RE 系)进行人工时效(T6)可以析出时效强化相,提高镁合金的强度。合金的析出行为在上一章已进行了详细介绍,此处将不再赘述。

5 低压铸造镁合金的热处理工艺

热处理是镁合金进一步调整和改善微观组织和力学性能的重要方法。根据合金元素的种类,可热处理强化的铸造镁合金主要包括Mg-A1-Mn系(如 AM100A)、Mg-A1-Zn 系( 如 AZ63A,AZ81A, AZ91C 和 AZ92A 等)、Mg-Zn-Zr 系(如 ZK51A 和 ZK6A等)、Mg-RE-Zn-Zr系(如EZ33A和ZE41A)、 Mg-Ag-RE-Zr 系(如 QE22A)和 M-Zn-Cu 系(如 ZC63A),不同体系铸造镁合金的常规热处理类型统计结果如表6所示。由于镁合金中合金元素的扩散速度较慢,常用的热处理工艺固溶和时效处理都需要较长时间保温,随后在静止的空气中或者人工强制流动的气流中冷却。

铸造镁合金经固溶处理(T4)后可以同时提高材料的强度、塑性、韧性和抗冲击性。砂型铸造镁合金壁厚较大,需要的固溶时间往往较长;金属型及薄壁铸件的固溶时间较短。彭立明等研究了固溶处理对AZ91D-RE合金显微组织和力学性能的影响,SEM结果显示铸态AZ91D-RE合金的第二相主要由网状Mg17 Al12 相、棒状 Al11 Er3 相及颗粒状 Al10 Ce2 Mn7 相组成。该合金经过410 ℃/35 h的固溶 处理后,网状Mg17 Al12 相完全固溶于α-Mg基体中, 为合金起到显著的固溶强化效果,合金的强度大幅提高;稀土化合物未固溶于基体,只是形态上发生了变化,由长棒状变为短棒状并有球化趋势,这种变化减弱了化合物对基体割裂的危害,合金塑性也得以提高。

表6 铸造镁合金常规热处理类型

对镁合金进行固溶处理后再进行人工时效 (T6)可以提高镁合金的强度,这种工艺主要应用于 Mg-Al-Zn 和 Mg-Er-Zr 合金。但 T6处理后镁合金的塑性往往会有所降低。表7统计了几类铸造镁合金的典型时效析出相,在第3节中已展开详细讨论,此处不再赘述。

镁合金铸件工件尺寸和截面厚度、工件尺寸与炉膛体积容量的比例关系以及铸件在炉膛中的放置方式等都是影响金属热处理工艺的主要因素。镁合金在热处理时对温度控制精度的要求较为严格,固溶处理时允许的最大温度波动范围为±5 ℃。因此,需要精确控制热处理炉的炉温并保证其温度分 布均匀;同时要求炉子具有良好的密封性,当热处理温度高于400 ℃时,必须使用保护气氛以防止镁合金表面氧化和燃烧。

表7 铸造镁合金典型时效析出相

除上述常规热处理外,目前还有些特殊热处理工艺用于提高镁合金综合性能。热等静压处理可以提高镁合金铸件的致密度、力学性能及稳定性。热等静压工艺是将材料放置到密闭的容器中,向材料施加各向同等的压力,同时施以高温,在高温高压的作用下,工件的形状和外形尺寸不发生改变,而在内部孔隙处发生显微尺度的塑性变形,使缩松缩孔缺 陷闭合,提高材料致密度,改善材料性能。Zhou 等采用热等静压处理技术,使铸造Mg-6Gd-3Y 0.5Zr合金中的缩松缩孔闭合,大大降低了铸造缺陷,显著提高了材料的力学性能。田晓莹等采用低压铸造-热等静压工艺制备的WE43合金在室温至250 ℃范围内表现出优异的力学性能,其原因是 合金具有细小的晶粒组织,以及消除了缩松缩孔。目前国内关于镁合金热等静压的报道较少,研究尚处于起步阶段。

6 镁合金低压铸造常见缺陷及应对方案

低压铸造镁合金充型速度较慢,充型较为平稳, 因此铸件中的气孔、缩孔等缺陷可以大大降低,铸件表面质量也有所提高。然而,随着航空航天、汽车等领域对高性能大型复杂镁合金铸件在的需求逐渐增加,推动镁合金的合金化程度逐渐提高,凝固区间变宽,流动性变差,在凝固过程中常见一些铸造缺陷, 如疏松、成分偏析、热裂等。

6.1 疏松

疏松是铸件内部出现的粗大海绵状组织,在镁合金铸件中分布广泛,补缩困难。镁合金凝固温度区间较宽,凝固收缩率大,导致体积收缩形成的微孔得不到合金液的补充,最终形成疏松,严重时由于晶间拉应力过大还会出现缩裂,导致合金失效。

在铸造镁合金壳体中,疏松缺陷主要发生于铸件的厚薄过渡区。在工艺设计时,为了减少疏松缺陷,壳体铸件的工艺应尽量遵循顺序凝固原则,以确保铸件补缩通道顺畅,充分发挥低压铸造的工艺优势。此外,适当降低浇注温度有利于减少疏松,但温度过低则会降低补缩效果;较低的充型速度可以避免充型过程中的卷气现象,同时延长浇道的保温时间,从而提高凝固质量。在此基础上,增加保压压力在30~60 kPa之间,可使枝晶间的微缩孔得以填充, 提高合金的补缩能力,提高镁合金铸件的内部质量。

6.2 成分偏析

成分偏析是镁合金中最常见的偏析缺陷,严重时可导致铸件直接报废。为降低铸件的成分偏析, 在实际铸造生产中通常可采用调整精炼温度和激冷能力、降低浇注温度等方法。

镁合金中添加的合金化元素通常熔点较高,多属于重金属元素,提高精炼温度可以使重金属元素更充分地熔入熔体,有效降低铸件的成分偏析。除合金成分外,成分偏析与铸件冷却速度也有关系,冷却速度较慢的部位更易产生成分偏析,在这些部位加强激冷可有效防止铸件内的偏析;此外,适当降低浇注温度,降低合金过冷度以防止重金属元素在凝固过程中析出,也能大大改善合金中的成分偏析。

6.3 热裂

随着镁合金铸件逐渐向大尺寸、薄壁复杂结构件发展,热裂倾向也随之增大,热裂对于铸件而言是一种非常严重的铸造缺陷,在铸件上呈现直的或者曲折的隙缝与裂口,易产生在凸台的厚薄交接处和下端框处。热裂的形成机制可以用液膜理论解释:镁液在凝固后期,封闭的枝晶之间会形成一层金 属液膜,当铸件继续凝固,体积持续收缩,在枝晶间会形成拉应力,在该力作用下最终发生撕裂,形成热裂纹。热裂缺陷的产生受工艺设计、熔体质量和冷铁的影响。在设计工艺时,当铸件设计相邻较近的多个凸台时,应设计合理的防裂拉筋,以有效消除裂纹缺陷。熔体净化和细化可以提高熔体质量,降低晶界处的局部应力,减少镁液中氧化夹杂,从而降低热裂倾向。适当设置冷铁,也会改善合金热裂倾向, 尤其是对稀土耐热镁合金而言。

6.4 氧化夹杂

低压铸造镁合金中常出现氧化夹杂,这种夹杂实际上是薄膜状MgO,伴有MgO/MgS和部分中间化合物混成的,多分布在铸件表面或铸件转接部分以及铸件内部的各部分,夹杂表面通常是粗糙而形状不规则的孔洞。氧化夹杂通常是由于工艺不完善或者不正确引起的,产生的主要因素和解决方案 如下:

(1)连续生产时往坩埚中补加镁液时,将液面上的氧化夹杂冲进升液管,在浇注时又被带入铸型中。所以在补加镁液后,应将升液管内的渣彻底清除

(2)升液管的液面反复升降造成的氧化皮,可以根据实际铸件情况选择在升液管口或铸型内浇道部分采用过滤网。

(3)加压速度过快,造成喷溅产生氧化皮。因此 应严格控制充型速度,保证金属液平稳上升,无冲击、喷溅现象。

(4)铸型材料和涂料脱落而引起的非金属夹杂。需要检查涂料层是否有脱落,型腔中的灰尘、砂粒、 杂物要彻底清扫干净;此外,熔炼时需添加精炼剂, 使其吸附各种非金属杂质(如氧化物、氮化物、氯化 物等),使其在静置后沉于坩埚底部得以去除。

6.5 浇不足和冷隔

浇不足和冷隔缺陷是镁合金低压铸造中易于出现的缺陷之一,主要发生在远离浇口的位置及铸件的薄壁处。浇不足是指在充型过程中,金属液未能充满型腔,致使铸件成形不完整的缺陷。

冷隔缺陷是指在两股金属汇聚处,由于未能完全熔合而存在明显的不连续性缺陷。浇不足和冷隔缺陷形成的主要原因都与金属液的充型过程有关, 如金属液的浇注温度低流动性差、充型速度过慢、铸型排气不好、透气性差、金属液量不足等。对应这 些因素,严格控制铸造工艺过程,才能有效避免这些缺陷,获得形貌完整的镁合金铸件。

6.6 夹层

铸件夹层是指铸件表面或体内出现一个或多个以气体或气泡为主的缺陷区域,是由于熔体中存在的气体在凝固过程中未能完全排出所造成的。夹层有可能是直接形成的,也有可能在凝固过程中形成复合缺陷。通常情况下,镁合金铸件夹层多发生于压铸过程中,其原因主要有以下几点:

(1)浇注过程中气体夹杂物。在合金铸件的浇注过程中,由于镁液的流动速度较快,容易带入气体、砂芯和其他杂质,导致夹层的产生。

(2)浇注温度过低或不均匀。浇注温度低或者温度分布不均匀,会导致镁合金铸件表面冻结形成外夹层。

(3)模具设计和制造问题。模具的不合理结构设计或制造工艺不良,也会导致夹层的产生。

(4)熔炼工艺不良。镁合金熔炼工艺控制不当, 如熔炼温度过高、保温时间过长等,会使镁液中的气体、杂质增加,从而产生夹层。

以上是镁合金铸件产生夹层的一些原因,针对这些原因可以采取相应的控制措施,如优化浇注工艺、改进模具设计制造工艺、控制熔炼工艺等。

综上所述,在镁合金壳体低压铸造中,为保证生产出高质量铸件,必须对原材料、铸造工艺和细化精炼等每个环节进行严格控制。

7 结语与展望

中国拥有世界上70%以上的镁资源。同时,中国也是镁材料和制品的生产大国,十几年来,中国的镁及其合金的产量已经超过了世界总产量的80%, 成为世界上最有话语权的国家。随着新能源车续航和传统油车节能减排要求的提升,轻量化成为目前汽车产业发展的重点,铸造镁合金作为最轻质的商用金属工程材料需求有望快速增长。所以在镁合金低压铸造中,后续有以下几点问题值得重点关注。

(1)铸造镁合金特别是低压铸造产品的研究和应用目前尚研究不足,在由实验室小规模向中等尺寸、中等规模工业产品试制转化时,样品的稳定化、 生产效率能否达到预期水平,成本分析与实际的差别有多大,个别技术难点有可能还未预计到,需要科研和生产人员共同配合消除铸造镁合金应用瓶颈。

(2)大众对镁合金产品认知不足。“镁合金化学性能活泼、易腐蚀,有安全隐患”——这往往是大众对镁合金产品的第一印象,对于镁合金铸件的实际性能测试结果非专业人员并不关注。因此,需要提升大众对于镁合金产品的认知,了解镁合金产品的优缺点及其实际的阻燃、耐腐蚀性能,以更好地促进镁铸件的应用。

(3)需要稳定的原镁价格和生产基地:镁合金铸件的生产成本中,材料价格占比一般在50%左右, 所以原镁价格的波动对于镁轮毂生产成本的影响巨大,相对稳定的原镁价格会进一步提升用户的使用决心和推广力度;同时,为提高产品量产效率和合格率,需要一定规模的生产基地来共同保障镁合金铸件的批量化生产和应用推广。此外,国内整车厂虽 然纷纷表示期待镁合金企业为其提供高性能镁合金汽车零部件产品,但零件材料更替需要时间周期供产品设计评估测试和验证,需求意向转换为市场订单有一个转换期;目前原镁相对价格仍较高,使得国内汽车厂担心成本压力较大。

(4)低压铸造中的设备、冶金组织方面存在的技术难点有待进一步攻关。如何通过合金设计、设备优化和有效的工艺改进进一步控制低压铸造组织中的氧化夹杂、缩孔、偏析等缺陷,是制约低压铸造工艺及其产品能否在镁的扩大应用过程中承担重要角色的关键点。

因此,虽然中国高性能低压铸造镁合金应用潜在市场巨大,但潜在市场需求能否转化为现实的市场需求仍具有较大不确定性。

作者:
王一唱  朱向镇 
唐伟能中国宝武钢铁集团宝钢金属有限公司技术中心

本文转载自特种铸造,原文来自中国有色金属工业协会镁业分会

回页顶部